近年来各地政府部门相继推出了VOCs排污收费政策,收费不是目的,最主要的还是通过经济杠杆迫使企业自觉进行VOCs减排,缓解大气污染。其中,VOCs排污收费征收的最关键环节就是测算量化,如何通过实际有效的方法对VOCs产生量进行核算,做到真正的按产生量收费,成了政府职能部门和企业最为关切的问题。今天小编就给大家做下简要的梳理一下。
“由于VOCs涉及行业种类繁多,测算方式也不尽相同。目前主要的测算方法有:实测法、公式法、物料平衡法和系数法。这四种计算方法的关系如下图:”

一实测法
该方法最接近实际值,通过对企业排气筒或无组织排放源进行监测获取数据,并计算相应环节排放量的方法。但由于目前测量仪器的局限性很难对VOCs内所有成分进行检测分析,且很多无组织排放无法进行合理有效的收集,给实测带来了一定的困难。
二公式法
该方法专业性较强,主要是利用公式表征生产过程物料的物理化学过程,从而计算出得VOCs排放量。目前,关于VOCs的公式法测算上海,江苏等地对其进行了规范,而且应用范围仅为船舶行业、油墨行业、汽车制造、印刷行业、石化行业等。而且,公式法的前提是默认管件不发生泄露,对于实际情况来说具有一定的局限性。
三物料平衡法
根据物质质量的守恒原理,对生产过程中使用的物料变化情况进行定量分析,从而计算获得产生量或排放量的方法。该方法建立在对企业进行充分了解的基础上,从物料平衡分析着手,对企业的原材料、辅料、能源、生产工艺过程、排污情况等所有存在VOCs的环节进行综合分析,最后才能得出较真实的VOCs产生量。企业缺少各个环节的VOCs监测计量环节,并且无组织VOCs排放难以量化,使得该方法存在很大的局限性。
四系数法
该方法通过获取重点行业或排放环节相应的活动水平信息和排放系数,从而计算出污染物排放量的方法。是目前应用最多的VOCs测算方法,面对各个行业复杂多变的VOCs产排过程,系数法中设定的系数具有一定的局限性,只能对VOCs产生量进行大致的测算。上海市推出的汽车制造业(涂装)行业就是采用系数法对VOCs的产生进行测算。
五应用公式
目前燃烧烟气VOCs排放量的计算方法可选用实测法与系数法。火炬VOCs排放量的计算方法则可选用物料平衡法和系数法。具体如下:
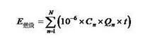
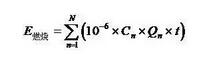
1.燃烧烟气VOCs排放量计算方法
1)实测法

式中
E燃烧:燃烧烟气VOCs的排放速率,千克/年;
N:每年测量次数,次/年,如自动检测仪每1小时记录1次测量值,则N=8760;
n:测量次数,第n次测量;
Qn:第n次测量时的烟气流量(干基),标立方米/小时;
Cn:第n次测量时排放口的VOCs浓度,毫克/标立方米;
t:两次测量之间间隔的时长,小时。
2)系数法

式中
Qfuel,i:燃料i的消耗量,煤(吨/小时)、天然气(立方米/小时)、液化石油气(立方米/小时,液态);
EFi:燃料i的排放系数,千克/单位燃料消耗,
t:装置的年运行时间,小时/年。
燃料VOCs排放系数

注:a:排放系数以总非甲烷有机物(TNMOC)代替VOCs;b:排放系数以总有机化合物(TOC)代替VOCs。
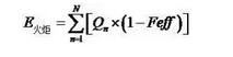
2.火炬VOCs排放量计算方法
1)基于火炬的物料衡算法
式中
E火炬,i:火炬i的VOCs排放量,千克/年;
n:测量序数,第n次测量;
N:年测量次数或火炬每次工作时的测量次数;
Qn:第n次测量时火炬气的流量,立方米/小时;
tn:第n次测量时火炬的工作时间,小时;
Cn:第n次测量时VOCs的体积分数;
Mn:第n次测量时VOCs的分子量,千克/千摩尔;
22.4:摩尔体积转换系数,立方米/千摩尔;
Feff:火炬的燃烧效率,%。
本方法需对进入火炬气体的成分和流量进行连续测量。当火炬非连续工作时,在火炬工作状态下应至少每3小时取样分析一次。本方法假定火炬正常操作过程中Feff>98%。部分条件下需修正火炬排放效率。

2)基于装置的物料衡算法

式中
E火炬:火炬系统的VOCs年排放量,千克/年;
N:每年排放次数,次/年;
n:排放次数,第n次排放;
Qn:第n次排放时的排入火炬的总废气量(干基),千克;
Feff:火炬燃烧效率。
本方法适用于未对火炬进行实际测量的情况,假定火炬燃烧效率为80%。
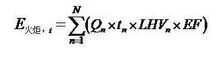
3)基于热值的排放系数法

式中
E火炬,i:火炬i的VOCs排放量,千克/年;
n:测量序数,第n次测量;
N:年测量次数或火炬每次工作时的测量次数;
Qn:第n次测量时火炬气的体积流量,立方米/小时;
tn:第n次测量时火炬的工作时间,小时;
LHVn:第n次测量时火炬气的低热值,兆焦耳/立方米;
EF:VOCs的排放系数,千克/兆焦,成分是总烃(以甲烷计)的情况下,系数取6.02E-05。
测量气体体积应和测定气体热值的标准条件相同。火炬停用或故障时,公式则乘以1/(1-Feff),其中Feff默认值取98%。
3.非正常工况(含开停工和维修)排放
1)公式法(气体加工容器)
除火炬系统按公式以上公式核算VOCs排放量时,开停工过程的VOCs排放量可不重复核算外,均应单独核算。
式中
E开停工:开停工过程的VOCs排放量,千克/年;
Pv:泄压气体排入大气时容器的表压,千帕;
T:泄压气体排入大气时容器的温度,开氏度;
Vv:容器的体积,立方米;
f空置:容器的体积空置分数,除去填料、催化剂或塔盘等所占体积后剩余体积的百分数,在容器中不存在内构件时,取1;
C:泄压气体中VOCs的浓度,毫克/标立方米;
i:每年的开停工次数。
2)公式法(液体加工容器)
式中
E开停工:开停工过程的VOCs排放量,千克/年;
Vv:容器的体积,立方米;
V′:容器内填料、催化剂或塔盘等所占体积分数,在容器中不存在内构件时,取0;
f1:容器吹扫前液体薄层或残留液体的体积分数,取值在0.1%至1%之间;
d:液体的密度,千克/立方米;
WF:容器内VOCs的质量分数;
f2:液体薄层或残留液体被吹扫至火炬或其它处理设施的质量分数;
Feff:火炬或处理设施的效率%,其中火炬效率可在九火炬排放中查找,处理设施的效率采用实测值。
根据实际情况,VOCs的四种测算方法也有所不同,可以单独使用也可以相互结合。例如,上海市石化行业VOCs排放量计算规范,对各个装置的VOCs测算做出了相应的规范:当有条件实测时首选实测法;其次是公式法,并且给出了在计算过程中所需的各个参数;最后是系数法,给出了各个工艺单元中阀门、泵、法兰等平均泄露速率,最后进行合算得出VOCs产生量。因此,只有根据实际情况灵活应用,才能得出较接近实际的VOCs排放量,才能作为VOCs排污收费的重要依据。
切换行业


正在加载...

