风量计算,特别是VOCs无组织排放收集,不仅要分行业而定,还要根据地标、行标、安全及职业卫生等要求和因素考虑,一听就觉得比较麻烦,也没有恒定标准,大家都会翻阅暖通类书籍,看完后感觉更加繁琐。加之GB37822发布,对无组织收集有一些新的要求,具体可查阅本站历史文章。什么整体通风、换气次数?什么截面风速、通风截面面积?一算出来自己心里都没底!那现在我们还是花个3分钟,一起多来学习针对整体收集的VOCs风量计算。
首先,考虑整体通风收集,我们还要大概知道两个职业卫生类的标准:
①GBZ 1-2010工业企业设计卫生标准

②GBZ 2.1-2007 工作场所有害因素职业接触限值 化学有害因素

知晓上面两个标准后,整体收集考虑时,还要分以下几个情况考虑:
1、有人员在密闭空间作业时:
废气收集系统风量,应需同时满足员工职业卫生接触限值和断面风速的要求,按照如下①②中两个方程同时计算,以最大值为系统收集风量。
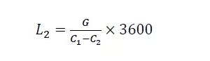
①按照VOCs主要成分浓度计算的风量,总风量为各成分计算风量之和,各成分的计算风量按式:

其中:
L2:各成分的计算风量,m3/h;
G:密闭空间内该成分的散发量,mg/h;
C1:密闭空间内部该成分的作业接触限值,mg/m3。
取值应符合GBZ 2.1(GBZ 2.1-2007 工作场所有害因素职业接触限值 化学有害因素)的规定;
C2:进风、补风的该成分的浓度,mg/m3。
总风量将各成分风量加和即可。
②按照密闭空间开口断面的计算风量,进风面包括员工进出口、物料进出口、补风口等,仅需要满足断面风速的要求,按照如下计算:

其中:
L3:按照密闭空间开口断面的计算风量,m3/h;
v:控制风速,m/s,采用车间整体密闭,开启的外门、外窗取1.2~1.5m/s;其他进风面,取0.4~0.6m/s;
F:进风面的面积,m2。
按照如上①②中两个方程同时计算,以最大值为系统收集风量
2、无人员在密闭空间作业时:
如②,重要的内容写两遍。按照密闭空间开口断面的计算风量,进风面包括员工进出口、物料进出口、补风口等,仅需要满足断面风速的要求,按照如下计算:

其中:
L3:按照密闭空间开口断面的计算风量,m3/h;
v:控制风速,m/s,采用车间整体密闭,开启的外门、外窗取
1.2~1.5m/s;其它进风面,取0.4~0.6m/s;
F:进风面的面积,m2。
3、最后一点需注意:
如造成进风面风速超过0.6m/s或外窗外门风速超过1.5m/s,密闭空间内应设补风系统,比如要考虑作业人员的岗位送风等,并满足GBZ 1-2010工业企业设计卫生标准的相关职业卫生的要求。