当前位置: 节能环保网 » 水处理 » 市政污水 » 正文

污水处理厂COD 和氨氮总量削减的成本模型

日期:2019-03-11    来源:资源节约与环保  作者:余洋

国际节能环保网

2019
03/11
14:48
文章二维码

手机扫码看资讯

关键词: 污水处理厂 COD 氨氮

   污水处理厂主要是利用微生物在有氧情况下氧化以及合成实现削减COD 的目的,而在削减氨氮方面,生物合成只是其中的一部分,其还可以通过硝化菌在有氧的情况下对氨氮进行氧化形成硝酸盐的方法去除,所以削减COD 和氨氮的总量越多,需要消耗的氧量也就越多。而对于污水处理厂来说,鼓风机等供氧设备所消耗的电量大约会占到污水处理厂总耗电量的50%~70%,电费成本又会占到污水处理厂总运转成本的40%~60%,所以对削减COD 和氨氮总量的成本进行准确的确定对污水处理厂更好地运行是具有非常重大的意义的
 
  摘要:本文将在削减COD 和氨氮总量所消耗的单位用电量的基础上, 对污水处理厂COD 和氨氮总量削减的成本模型进行研究。
 
  1 研究目的
 
  污水处理厂主要是利用微生物在有氧情况下氧化以及合成实现削减COD 的目的,而在削减氨氮方面,生物合成只是其中的一部分,其还可以通过硝化菌在有氧的情况下对氨氮进行氧化形成硝酸盐的方法去除,所以削减COD 和氨氮的总量越多,需要消耗的氧量也就越多。而对于污水处理厂来说,鼓风机等供氧设备所消耗的电量大约会占到污水处理厂总耗电量的50%~70%,电费成本又会占到污水处理厂总运转成本的40%~60%,所以对削减COD 和氨氮总量的成本进行准确的确定对污水处理厂更好地运行是具有非常重大的意义的[1]。
 
  2 削减COD 和氨氮总量消耗电量的分析
 
  通过对污水处理厂进行研究发现,COD 或者氨氮削减的负荷和处理污水的总量二者之间是没有显著地相关性的,所以采用传统运行费用确定法即利用吨水确定费用是不能促使污水处理厂对COD 和氨氮负荷进行更多地削减。研究还发现COD 与单位用电消耗之间的相关性是比较显著的,表现为削减COD 的负荷量越多,单位用电消耗量越多,且氨氮负荷的削减与单位用电消耗之间的关系与之相同。
 
  对COD 削减情况与其单位消耗电量的关系进行进一步分析,发现在不同的COD 浓度状态下,单位用电消耗量会随着COD削减负荷量的增多而逐渐减少并且慢慢趋于稳定,氨氮削减情况与其单位消耗电量的关系与之相同。这是因为当COD 和氨氮进水负荷比较小的时候,没有及时有效地降低供氧量出现过量供氧的情况,进而使得电量被浪费,单位电量消耗增多。所以,在污水处理厂的能力范围内,单位用电消耗量会随着COD 和氨氮负荷削减的逐步增多而慢慢减少并且最终会趋于稳定。
 
  因为在对COD 进行削减所消耗的电量中有一部分用在了硝化氨氮上,所以利用最低电量消耗来表示削减COD 所耗电量是较为合理的。而对于氨氮削减电量消耗方面,其包含了COD 的削减消耗电量,因此利用其平均的消耗电量来代表同时削除COD和氨氮所耗电量,当然COD 已经被基本削除是削除氨氮的前提。
 
  研究还发现,污泥龄会对硝化效果产生明显的影响,在污泥龄能够符合硝化所需要求时,氨氮负荷增加对硝化的影响可以通过供氧量的增加而弥补,而如果污泥龄不能够符合硝化所需要求,那么即使供氧增加,硝化效果也不会得到较好的改善,这就导致了出水中氨氮的含量过大,而且电量会被无效消耗[2]。只有对污水处理厂进行科学的管理,确保污泥龄能够符合硝化所需条件,所以电量损耗会随着氨氮浓度的减少而降低。
 
  3 污水处理厂COD 和氨氮总量削减的成本模型
 
  对污水处理厂中COD 和氨氮削减量与单位电量消耗进行数值分析,发现当处理后的COD浓度下降10mg/L时,会消耗0.01kW·h/kg,当处理后的氨氮浓度下降1mg/L时,会消耗0.2kW·h/kg,由此可得到COD和氨氮削减所消耗电量的模型:
 
 
 
  其中:PCOD 表示为削减单位COD 总量所消耗的电量;CODin 和CODeff分别表示为进水和出水的COD 浓度。
 
 
 
  其中:PN表示为削减单位氨氮总量所消耗的电量;NHin和NHeff分别表示为进水和出水的氨氮浓度。
 
  因为处理厂规模以及水量的负荷率等因素都会对电量消耗占污水处理厂运转成本的比例产生影响,一般情况下,处理厂规模过小以及处理的水量较小都会导致电量损耗占总运行成本的比例相对较低。对多个污水处理厂进行调研以确定处理厂规模对用电消耗占总运转成本的比例的影响进行确定,在对不同水量负荷率的情况进行研究以确定其对用电消耗占总运转成本的比例的影响进行确定[3]。
 
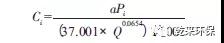
  在进出水浓度、处理厂规模以及水量负荷率的基础上,获得运行成本计算模型的表达式:
 
  
 
  Ci = aPi/(37.001×Q0.0654)/100其中:Ci 表示为单位COD 或者氨氮总量削减总量所消耗的成本,Pi 表示为PCOD 或者PN,a 表示为当地的电价,Q 表示为处理厂规模,f 表示为水量的负荷率。
 
  单位COD 与氨氮总量削减所需的运行成本会随着污水处理厂出水水质的浓度的降低而升高,而且在保证出水水质是不变的情况下,随着COD 与氨氮总量削减量的增加,运行成本值会逐渐减小。所以在一定的时间范围内,根据出水的浓度对COD 与氨氮的单位削减费用进行定值的确定时并据此支付运转成本时,随着COD 与氨氮削减总量的增多,实际消耗的单位污染物削减成本会逐渐减少,进而切实有效地促进污水处理厂更多、更好地对污染物进行削减,进而实现水质的逐渐改善。
 
  4 结语
 
  COD 或者氨氮削减的负荷和处理污水的总量二者之间是没有显著地相关性的,所以采用传统的利用吨水确定费用是不能促使污水处理厂对COD 和氨氮负荷进行更多地削减。随着去除负荷的增多,削减COD 和氨氮总量所需要的单位用电消耗是逐渐减少的,且会慢慢趋于稳定。进出水浓度、处理厂规模以及水量负荷率等因素会对污水处理厂的运转成本产生影响,基于此建立了成本模型对COD 和氨氮总量的削减所需费用进行直接有效的反应。
返回 国际节能环保网 首页

能源资讯一手掌握,关注 "国际能源网" 微信公众号

看资讯 / 读政策 / 找项目 / 推品牌 / 卖产品 / 招投标 / 招代理 / 发文章

扫码关注

0条 [查看全部]   相关评论

国际能源网站群

国际能源网 国际新能源网 国际太阳能光伏网 国际电力网 国际风电网 国际储能网 国际氢能网 国际充换电网 国际节能环保网 国际煤炭网 国际石油网 国际燃气网